STUDIA Matematyka / Statystyka facebook / sms on-line
- 18 Lut 10:42
- Nr ogłoszenia: 48943792












1 / 12
- Oferta od osoby prywatnej
Zadania z matematyki oraz statystyki - studia.
Na e-mail bądź mms-em oraz w czasie rzeczywistym na FB.
Dyskrecja. Szybkość i skuteczność realizacji. Konkurencyjne ceny. Bezpłatne tłumaczenie w razie niejasności. Posiadam referencje. Możliwość przetestowania umiejętności.
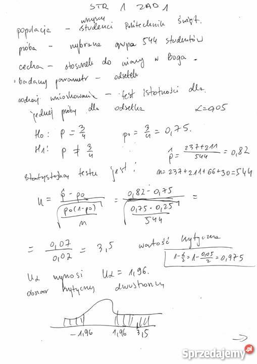
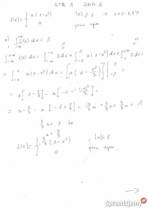
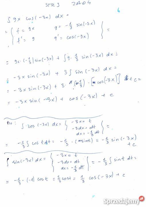
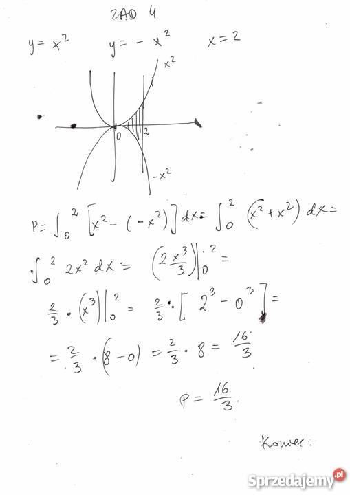
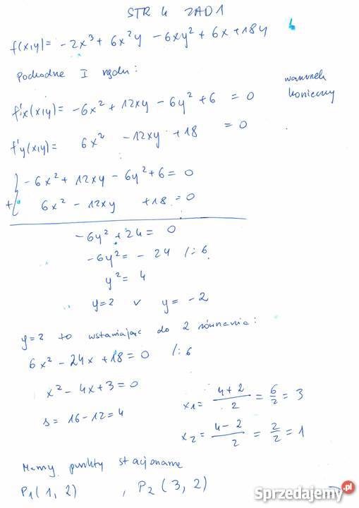
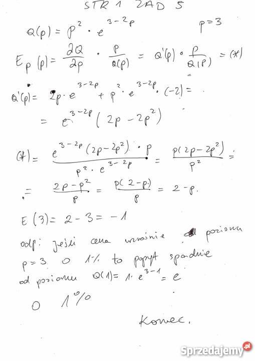
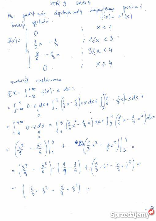
W zdjęciach zamieszczam rozwiązania z dotychczasowych zaliczeń.
Dyspozycyjność w najbliższym czasie:
19.02 Nd 8-15
20.02 Pn 8-21
21.02 Wt 8-21
22.02 Śr 8-21
23.02 Cz 8-21
24.02 Pt 8-21
25.02 Sb 8-21
26.02 Nd 8-21
27.02 Pn 13.30-21
28.02 Wt 13.30-21
Proszę o kontakt sms, z informacja o przedmiocie, zagadnieniach, godzinie i dacie zaliczenia. odezwę się:
Tel. ***-***-***
od 150 zł